二叉树的顺序存储结构(无师自通)
二叉树的存储结构有两种,分别为顺序存储和链式存储。本节先介绍二叉树的顺序存储结构。
二叉树的顺序存储,指的是使用顺序表(数组)存储二叉树。需要注意的是,顺序存储只适用于完全二叉树。换句话说,只有完全二叉树才可以使用顺序表存储。因此,如果我们想顺序存储普通二叉树,需要提前将普通二叉树转化为完全二叉树。

图 1 普通二叉树的转化
图 1 中,左侧是普通二叉树,右侧是转化后的完全(满)二叉树。
解决了二叉树的转化问题,接下来学习如何顺序存储完全(满)二叉树。
完全二叉树的顺序存储,仅需从根节点开始,按照层次依次将树中节点存储到数组即可。

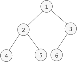
图 2 完全二叉树示意图
例如,存储图 2 所示的完全二叉树,其存储状态如图 3 所示:

图 3 完全二叉树存储状态示意图
同样,存储由普通二叉树转化来的完全二叉树也是如此。例如,图 1 中普通二叉树的数组存储状态如图 4 所示:

图 4 普通二叉树的存储状态
由此,我们就实现了完全二叉树的顺序存储。
不仅如此,从顺序表中还原完全二叉树也很简单。我们知道,完全二叉树具有这样的性质,将树中节点按照层次并从左到右依次标号(1,2,3,...),若节点 i 有左右孩子,则其左孩子节点为 2*i,右孩子节点为 2*i+1。此性质可用于还原数组中存储的完全二叉树,也就是实现由图 3 到图 2、由图 4 到图 1 的转变。
声明:当前文章为本站“玩转C语言和数据结构”官方原创,由国家机构和地方版权局所签发的权威证书所保护。
二叉树的顺序存储,指的是使用顺序表(数组)存储二叉树。需要注意的是,顺序存储只适用于完全二叉树。换句话说,只有完全二叉树才可以使用顺序表存储。因此,如果我们想顺序存储普通二叉树,需要提前将普通二叉树转化为完全二叉树。
有读者会说,满二叉树也可以使用顺序存储。要知道,满二叉树也是完全二叉树,因为它满足完全二叉树的所有特征。
普通二叉树转完全二叉树的方法很简单,只需给二叉树额外添加一些节点,将其"拼凑"成完全二叉树即可。如图 1 所示:
图 1 普通二叉树的转化
图 1 中,左侧是普通二叉树,右侧是转化后的完全(满)二叉树。
解决了二叉树的转化问题,接下来学习如何顺序存储完全(满)二叉树。
完全二叉树的顺序存储,仅需从根节点开始,按照层次依次将树中节点存储到数组即可。

图 2 完全二叉树示意图
例如,存储图 2 所示的完全二叉树,其存储状态如图 3 所示:

图 3 完全二叉树存储状态示意图
同样,存储由普通二叉树转化来的完全二叉树也是如此。例如,图 1 中普通二叉树的数组存储状态如图 4 所示:

图 4 普通二叉树的存储状态
由此,我们就实现了完全二叉树的顺序存储。
不仅如此,从顺序表中还原完全二叉树也很简单。我们知道,完全二叉树具有这样的性质,将树中节点按照层次并从左到右依次标号(1,2,3,...),若节点 i 有左右孩子,则其左孩子节点为 2*i,右孩子节点为 2*i+1。此性质可用于还原数组中存储的完全二叉树,也就是实现由图 3 到图 2、由图 4 到图 1 的转变。
编写本节实现代码,需要对二叉树进行层次遍历,这个知识点本章有单独一节做详细介绍,这里不再给出具体的代码实现。
声明:当前文章为本站“玩转C语言和数据结构”官方原创,由国家机构和地方版权局所签发的权威证书所保护。


ICP备案:
公安部网络备案: