数据结构有哪些,常用数据结构详解
通过上节我们知道,数据结构是学习数据存储方式的一门学科,那么,数据存储方式有哪几种呢?本节将对数据结构的学习内容做一个简要的总结。
数据结构大致包含以下几种存储结构:
下面对各种数据结构做详细讲解。
例如,存储类似 {1,3,5,7,9} 这样的数据时,各元素依次排列,每个元素的前面和后边有且仅有一个元素与之相邻(除首元素和尾元素),因此可以使用线性表存储。
线性表并不是一种具体的存储结构,它包含顺序存储结构和链式存储结构,是顺序表和链表的统称。

图 1 顺序表结构
链表则完全不同,使用链表存储数据时,是随用随申请,因此数据的存储位置是相互分离的,换句话说,数据的存储位置是随机的。
为了给各个数据块建立“依次排列”的关系,链表给各数据块增设一个指针,每个数据块的指针都指向下一个数据块(最后一个数据块的指针指向 NULL),就如同一个个小学生都伸手去拉住下一个小学生的手,这样,看似毫无关系的数据块就建立了“依次排列”的关系,也就形成了链表,如图 2 所示:

图 2 链表结构
栈中的元素只能从线性表的一端进出(另一端封死),且要遵循“先入后出”的原则,即先进栈的元素后出栈。

图 3 栈结构示意图
栈结构如图 3 所示,像一个木桶,栈中含有 3 个元素,分别是 A、B 和 C,从在栈中的状态可以看出 A 最先进的栈,然后 B 进栈,最后 C 进栈。根据“先进后出”的原则,3 个元素出栈的顺序应该是:C 最先出栈,然后 B 出栈,最后才是 A 出栈。
队列中的元素只能从线性表的一端进,从另一端出,且要遵循“先入先出”的特点,即先进队列的元素也要先出队列。

图 4 队列结构示意图
队列结构如图 4 所示,队列中有 3 个元素,分别是 A、B 和 C,从在队列中的状态可以看出是 A 先进队列,然后 B 进,最后 C 进。根据“先进先出”的原则,3 个元素出队列的顺序应该是 A 最先出队列,然后 B 出,最后 C 出。

图 5 家庭族谱
如图 5 所示,其中张平只有一个父亲,但他却有两(多)个孩子,这就是“一对多”的关系,满足这种关系的数据可以使用树存储结构。

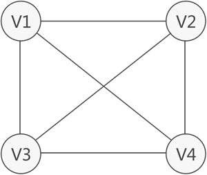
图 6 图存储结构示意图
如图 6 所示,从 V1 可以到达 V2、V3、V4,同样,从 V2、V3、V4 也可以到达 V1,这就是“多对多”的关系,满足这种关系的数据可以使用图存储结构。
声明:当前文章为本站“玩转C语言和数据结构”官方原创,由国家机构和地方版权局所签发的权威证书所保护。
数据结构大致包含以下几种存储结构:
下面对各种数据结构做详细讲解。
线性表
线性表结构存储的数据往往是可以依次排列的,就像小朋友手拉手,每位学生的前面和后面都仅有一个小朋友和他拉手,具备这种“一对一”关系的数据就可以使用线性表来存储。
例如,存储类似 {1,3,5,7,9} 这样的数据时,各元素依次排列,每个元素的前面和后边有且仅有一个元素与之相邻(除首元素和尾元素),因此可以使用线性表存储。
线性表并不是一种具体的存储结构,它包含顺序存储结构和链式存储结构,是顺序表和链表的统称。
顺序表
顺序表,简单地理解,就是常用的数组,只是换了个名字而已,例如使用顺序表存储 {1,3,5,7,9},如图 1 所示:
图 1 顺序表结构
由于顺序表结构的底层实现借助的就是数组,因此对于初学者来说,可以把顺序表完全等价为数组,但实则不是这样。数据结构是研究数据存储方式的一门学科,它囊括的都是各种存储结构,而数组只是各种编程语言中的基本数据类型,并不属于数据结构的范畴。
链表
我们知道,使用顺序表(底层实现靠数组)时,需要提前申请一定大小的存储空间,这块存储空间的物理地址是连续的,如图 1 所示。链表则完全不同,使用链表存储数据时,是随用随申请,因此数据的存储位置是相互分离的,换句话说,数据的存储位置是随机的。
为了给各个数据块建立“依次排列”的关系,链表给各数据块增设一个指针,每个数据块的指针都指向下一个数据块(最后一个数据块的指针指向 NULL),就如同一个个小学生都伸手去拉住下一个小学生的手,这样,看似毫无关系的数据块就建立了“依次排列”的关系,也就形成了链表,如图 2 所示:

图 2 链表结构
栈和队列
栈和队列隶属于线性表,是特殊的线性表,因为它们对线性表中元素的进出做了明确的要求。栈中的元素只能从线性表的一端进出(另一端封死),且要遵循“先入后出”的原则,即先进栈的元素后出栈。

图 3 栈结构示意图
栈结构如图 3 所示,像一个木桶,栈中含有 3 个元素,分别是 A、B 和 C,从在栈中的状态可以看出 A 最先进的栈,然后 B 进栈,最后 C 进栈。根据“先进后出”的原则,3 个元素出栈的顺序应该是:C 最先出栈,然后 B 出栈,最后才是 A 出栈。
队列中的元素只能从线性表的一端进,从另一端出,且要遵循“先入先出”的特点,即先进队列的元素也要先出队列。

图 4 队列结构示意图
树存储结构
树存储结构适合存储具有“一对多”关系的数据。
图 5 家庭族谱
如图 5 所示,其中张平只有一个父亲,但他却有两(多)个孩子,这就是“一对多”的关系,满足这种关系的数据可以使用树存储结构。
图存储结构
图存储结构适合存储具有“多对多”关系的数据。
图 6 图存储结构示意图
本节只是对数据结构中包含的各种存储结构做一个简要的介绍,各存储结构具体的实现会在后续文章中作详解介绍。
声明:当前文章为本站“玩转C语言和数据结构”官方原创,由国家机构和地方版权局所签发的权威证书所保护。


ICP备案:
公安部网络备案: